APA 7: Dağcı, E. (2023, September 6). Özel Görelilik Teorisi. PerEXP Teamworks. [Article Link]
Göreliliğin doğuşu
Özel görelilik teorisinin doğuşu Michelson-Morley deneyine ve Galileo dönüşümlerindeki hataya dayanmaktadır. İlk olarak 1905 yılında Albert Einstein, “Hareketli Cisimlerin Elektrodinamiği Üzerine” isimli makalesinde bu hatadan bahsetmiş ve çözüme yönelik bazı teknikler sunmuştur. Bu makale ve Einstein’ın teorisi fizik için bir devrim niteliğindedir. Günümüzde kullandığımız GPS, Akıllı telefon veya bilgisayar gibi pek çok elektronik cihaz bu teori sayesinde çalışmaktadır. Bu teoriyi anlayabilmek için öncelikle Michelson-Morley deneyini incelememiz gerekiyor.
Michelson-Morley deneyi
19. yüzyılın sonlarına doğru tüm dünya esir maddesi denen bir maddenin varlığına inanmaktaydı. Bildiğiniz gibi mekanik dalgalar yayılmak için bir ortama ihtiyaç duyarlar. Su dalgaları su üzerinde, deprem dalgaları yerküre üzerinde yayılırlar. Maxwell, ışığın da bir elektromanyetik dalga olduğunu kanıtlamıştı. O hâlde ışığın yayılması için de bir ortama ihtiyacı vardı. Bu ortam hava olarak düşünülebilir ancak Güneş’ten gelen ışığı unutmamak gerekir. Demek ki ışık uzay boşluğunda da yayılabilmektedir. Bu yüzden insanlar şu fikre kapıldılar: Uzayı hatta tüm evreni kaplayan bir madde vardır. Bu madde ışık dalgalarının yayıldığı ortamdır ve bu maddenin ismi esir maddesidir.
İşte bu maddenin varlığını kanıtlamak amacıyla 1887 yılında Albert Michelson ve Edward Morley ikilisi bir deney düzeneği tasarladılar.

Bu deneyin mantığı aslında oldukça basittir. Yarı geçirgen bir aynaya ışık yollanır ve bu ışık farklı aynalara ulaşır. Daha sonra tekrar yansıyan ışınlar bir detektöre ulaşarak aldıkları yollar ve hızları ölçülür. Bu deney iki farklı mevsimde gerçekleştirilir. Bunun amacı ise şudur: Bir arabanın içerisinde olduğunuzu hayal edin. Ben de kaldırımda duruyorum. Siz arabanın içinden bir topu arabayla aynı yönde fırlatın. Ben bu topun hızını nasıl algılarım? Tabi ki arabanın hızı artı topun fırlatılma hızı olarak. Bu deneyin mantığı da böyle işliyor. Dünya sağ tarafa doğru hareket ederken ışık hızı, Dünya’nın hızı + ışık hızı olarak ölçülmeli. Diğer mevsimde, Dünya sol tarafa doğru giderken ise ışığın hızı, ışık hızı – Dünya’nın hızı olarak ölçülmeli. Dolayısıyla da bu iki hız arasında bir fark meydana gelir. İşte bu hız esir maddesinin uzaydaki hızıdır.
Herkes çok heyecanlıdır ve deneyin sonuçlarını beklemeye başlarlar. Ancak ölçümler yapıldığında şu gözlenir: Ortada hiçbir fark yoktur. Işık hızı iki durumda da aynı ölçülmüştür. Michelson ve Morley ikilisi, esir maddesinin varlığını ispatlamaya çalışırken böyle bir maddenin var olmadığını kanıtlamış olur.
Galileo Dönüşümleri
Einstein, bu deneyden çok etkilenir ve ışık hızını Galileo dönüşümleri altında incelemeye karar verir.

Bu dönüşüm temelinde bir referans sistemini sabit bir hızla hareket ettirmeye dayanır. Eğer sistem tek bir yönde hareket ediyorsa diğer iki yönde herhangi bir değişim meydana gelmez. Hareket ettiği yönde ise şeklinde bir bağıntı ortaya çıkar. Bu bağıntıyı kanıtlamak oldukça basittir. Tüm x koordinatından hareket ettiği yolu çıkartırız ve yeni yolu elde ederiz. bağıntısı ise Galileo tarafından önerilmiştir ve zamanın mutlak olduğunu ifade eder. Galileo’ya göre zaman mutlaktır ve değişen referans sistemlerine göre değişmez.
Einstein, bu dönüşüm bağıntılarında x, konum değerinin yerine hız denkleminden çıkan ifadesini yerleştirir. Bunu yaptığımızda:
denklemini elde ederiz. Einstein, aynı işlemi bir de sol tarafa doğru giden ışık için yapar ve x gördüğü yerlere ifadesini yerleştirir. Bunu yaptığımızda ise elde edeceğimiz denklem:
Olacaktır. Görüldüğü üzere bu iki eşitliğin sol taraflarının eşit olmalarına rağmen sağ tarafları birbirine eşit değildir. Öyleyse bir hata vardır. Bu hata ya Galileo dönüşümlerinden ya da ışık hızından kaynaklanmaktadır. Işık hızının tüm referans sistemlerinde aynı ölçülmesi gerektiği Michelson-Morley deneyiyle kanıtlanmıştır. O zaman hata Galileo dönüşümlerinden gelmektedir. Hatalı olan denklem sizce hangisidir. Konum denklemlerinin hatalı olmadığını zaten söylemiştik. O hâlde Galielo’nun zaman varsayımı hatalıdır. Yani denklemi.
Gerçekten de hatalı olan denklem budur ve bu ispat üzerine Einstein şu meşhur sözünü söyler: “Elinizi 1 dakikalığına sıcak bir fırına sokun size 1 saat gibi gelir. Ancak güzel bir kadınla 1 saat vakit geçirin size 1 dakika gibi gelir.” Einstein zamanın mutlak olmadığını ve değişen referans sistemlerinde değişik ölçülebileceğini söyler.
Lorentz Dönüşümleri
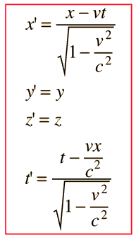
Tabi ki Einstein yalnızca sorunu bulmakla kalmaz. Ona bir çözüm de getirir. Bunu da Lorentz dönüşümlerini kullanarak yapar. Bu dönüşümler aslında konum ve zaman koordinatlarının γ ile sembolize ettiğimiz Lorentz faktörüyle çarpılmasıyla meydana gelir. Gama faktörünün değeri ise:
Şeklindedir. Bu denklemin nasıl ortaya çıktığını, yani işin derin matematiğine bu yazıda değinmeyeceğiz ancak şunu söylemeliyiz ki bu dönüşümlerde uzay ve zaman bir bütün olarak ele alınır. Bu zamana kadar uzay ve zaman kavramları hep birbirinden apayrı şeyler olarak tanımlanmıştır ancak Einstein ve Lorentz, uzay-zamanı bir bütün olarak ele alır. Bu Lorentz dönüşümlerinin tam hâli şu şekilde verilir:
Aslında günlük hayatta da bu denklemleri kullanırız ancak bunun pek farkında olmayız. Örneğin bir otomobili ele alalım. Otomobilin hızı 100 m/s olsun. Eğer bu hız denklemini denklemde yerine koyarsak v2/c2 ifadesi gereğince burası 1002/300.000.0002 olacaktır. Bu ifadeyi de 0 olarak kabul edebiliriz. Eğer ifadeyi 0 olarak kabul edersek payda 1 hâline gelir ve Lorentz dönüşümlerimiz, Galileo dönüşümlerine dönüşür. Aynı durum zaman dönüşümü için de geçerlidir.

İkizler Paradoksu
Özel görelilik teorisini anlatırken meşhur ikizler paradoksundan bahsetmemek olmaz. Bu paradoks şu şekildedir. Yeni doğmuş iki ikiz kardeşten biri Dünya’da bırakılır, diğeri ise uzayda ışık hızına yakın bir hızla hareket ettirilir. Bu hareketin 60 yıl kadar sürdüğünü varsayalım. 60 yılın sonunda uzaydaki kardeşi Dünya’ya getirdiğimizde henüz 40’lı yaşlarındadır. Ancak Dünya’daki kardeş 60 yaşındadır. Bu birçoğunuza saçma geliyor olabilir ancak gerçektir. Temelinde ise çok basit bir matematiğe dayanır.
Belirtilen denklemde gördüğünüz gibi yapmamız gereken tek şey zaman ifademizi γ ile ifade ettiğimiz Lorentz faktörü ile çarpmaktır. Dilerseniz hemen bir örnek yapalım. Birinci kardeş Dünya’da olsun. İkinci kardeşi ise 0,6 c kadar, yani ışık hızının 10’da 6’sı kadar bir hızla uzayda dolaştıralım. Bu işlemi 60 yıl boyunca sürdürelim. Doğal olarak birinci kardeş 60 yaşında olacaktır. Peki ya ikinci kardeş? Eğer 0,6 c ifadesini denklemde v yerine koyarsanız şunu elde edersiniz:
İfadenin karesini aldığınızda 0,36 c2 sonucunu elde edersiniz. c2 değerleri sadeleşir ve elinizde denklemi kalır. En nihayetinde de şeklinde bir değere sahip olursunuz. 0,64 sayısı karekökün dışına 0,8 şeklinde çıkar ve yapmanız gereken bu iki ifadeyi çarpmaktır.
Sonuç olarak da 60 ile 0,8’i çarptığınızda 48 sonucunu elde edersiniz. Yani 60 yıl sonunda uzaydaki kardeş 48 yaşında olacaktır. Bu işlemleri farklı sayılar kullanarak kendiniz de deneyebilirsiniz. Mesela ikinci kardeşin hızını 0,8 c’ye çıkardığımızda bulacağımız yaş 36 olacaktır. O hâlde şu yorumu yapabiliriz: Kardeşin hızını ışık hızına ne kadar yaklaştırırsak, kardeş o kadar gençleşir. Evet, yorum doğrudur. Çünkü Lorentz faktörü aşağıda görmüş olduğunuz grafiğe göre değişir.

Bu düşünce deneyi bizlere çok önemli bir şeyi de kanıtlar. Işık hızının geçilemeyeceğini. Çünkü kardeşin hızını ışık hızına yaklaştırdığımızda kardeş gençleşir ve eğer kardeşi ışık hızına çıkartırsak kardeşin yaşı 0 olur. Bununla da kalmayıp kardeşin hızını ışık hızının katları şeklinde belirlersek karekökün içi negatif değerler almaya başlayacağından Lorentz faktörü ve dolayısıyla yaş kompleks değerler almaya başlar. Biz böyle bir şeye alışkın değilizdir. Hiçbirimiz yaşlarımızı söylerken karmaşık sayıları kullanmayız. Bu nedenle de ışık hızı aşılamaz hatta ışık hızına ulaşılamaz.
Kaynaklar
- BOOK Einstein, A. (2021). İzafiyet Teorisi. Say Yayınları.
- BOOK Lorentz, H. A., Einstein, A., Minkowski, H., Weyl, H., & Sommerfeld, A. (1952). The principle of relativity: A Collection of Original Memoirs on the Special and General Theory of Relativity. Courier Corporation.
- BOOK CHAPTER Nahin P.J. (2007). Zaman Makineleri (pp. 476-547). Arkadaş Yayınları.
- BOOK Semiz, İ. (2010). 50 Soruda Görelilik Kuramı. Bilim ve Gelecek Kitaplığı.
- BOOK CHAPTER Bohm, D. (2013). Özel Görelilik Kuramı (pp. 42-92). İdea Yayınları.
- BOOK CHAPTER Erbil, H. H. (2014). Analitik ve Kuantum Mekaniği (pp. 1-53). Nobel Yayınları.
- JOURNAL Bell, J. S. (1964). On the Einstein Podolsky Rosen paradox. Physics, 1(3), 195–200. [Physics]
- BOOK CHAPTER Feynman, R. P. (2014). Altı Zor Parça (pp. 40-45). Alfa Yayınları.
- BOOK CHAPTER Feynman, R. P. (2014). Altı Zor Parça (pp. 95-122). Alfa Yayınları.
- BOOK CHAPTER Susskind, L., Hraborsky, G. (2018). Kuramsal Başlangıç (pp. 125-148). Alfa Yayınları.
- BOOK CHAPTER Brooks, M. (2018). Fizik: Kullanma Kılavuzu (pp. 107-116). Aylak Kitap.
- BOOK Susskind, L., & Friedman, A. (2017). Special relativity and classical field theory: The Theoretical Minimum. Basic Books.
Emeğine sağlık!
Fizik, kimya ve matematik alanlarında daha çok başarılı olacağını düşünüyor ve biliyorum. Ellerine sağlık, yıldızların ışığı yarınlarını aydınlatsın. 🧠